Le azioni di risparmio sono una particolare categoria di azioni, prive del diritto di voto rispetto alle azioni ordinarie, ma caratterizzate da maggiori diritti patrimoniali.
Ciò che spinse alla loro istituzione fu il diversi interessi dei grandi azionisti di maggioranza, coinvolti nel governo della società, e dei piccoli azionisti di minoranza, spesso disinteressati alle decisioni di indirizzo strategico della società (e quindi al voto in assemblea dei soci) e con l’unico obiettivo di portare a casa un rendimento interessante possibilmente a un rischio contenuto.
Le azioni di risparmio sono attualmente normate dal d.lgs. 58/1998 (Testo Unico della Finanza) agli artt. 145-147, il quale lascia carta bianca all’autonomia statutaria nella definizione dei privilegi di natura patrimoniale.
Art. 145
Emissioni delle azioni
1. Le societa' italiane con azioni ordinarie quotate in mercati regolamentati italiani o di altri paesi dell'Unione Europea possono emettere azioni prive del diritto di voto, dotate di particolari privilegi di natura patrimoniale.
2. L'atto costitutivo determina il contenuto del privilegio, le condizioni, i limiti, le modalita' e i termini per il suo esercizio; stabilisce altresi' i diritti spettanti agli azionisti di risparmio in caso di esclusione dalle negoziazioni delle azioni ordinarie o di risparmio.
Nonostante questo, gli statuti societari si sono rifanno sostanzialmente alla “traccia” della legge istitutiva 216/1974, la quale attribuiva alle azioni di risparmio i seguenti privilegi patrimoniali:
- dividendo minimo legale pari al 5% del valore nominale o superiore, se fissato dallo statuto;
- maggiorazione minima del dividendo rispetto alle azioni ordinarie pari al 2% del valore nominale o superiore, se fissato dallo statuto;
- cumulabilità del dividendo legale fino a 2 esercizi successivi;
- postergazione nella partecipazione alle perdite.
Vediamo ora un modello semplificato per la valutazione delle azioni risparmio, non tanto in termini assoluti quanto in termini relativi rispetto alle azioni ordinarie.
Il valore di un’azione ordinaria (Vo) può essere scomposto in due componenti:
- valore attuale dei dividendi futuri attesi (Vi);
- valore del diritto di voto (Ψ).
Anche il valore di un’azione di risparmio (Vr) può essere scomposto in due parti:
- valore attuale dei dividendi futuri attesi (Vi);
- valore attuale della maggiore remunerazione attesa per le azioni di risparmio (ΔR).
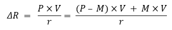
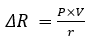
Ipotizzando il maggior dividendo atteso per le azioni risparmio come costante nel tempo e perpetuo, si ottiene (valore attuale di una rendita perpetua):

dove:
V = valore nominale/contabile implicito;
P = valore percentuale del dividendo privilegiato sul valore nominale;
M = valore percentuale della maggiorazione di dividendo sul valore nominale;
R = tasso privo di rischio a medio-lungo termine (10 anni).
Ora, la maggiorazione spettante alle azioni di risparmio rispetto alle azioni ordinarie può essere considerata in tre situazioni limite:
- - in assenza di utili non c'è differenziale di dividendi tra azioni di risparmio e azioni ordinarie (ΔR = 0)
- - per valori elevati degli utili distribuiti, la differenza di dividendo si limita alla maggiorazione spettante alle azioni di risparmio rispetto alle azioni ordinarie
-

- - quando l’utile distribuito è esattamente pari al dividendo privilegiato delle azioni di risparmio e non vengono remunerate le azioni ordinarie
-

In primo luogo, stimato ΔRnei tre scenari, si può analizzare quanta parte del prezzo dell’azione di risparmio è spiegato dalla componente della maggiore remunerazione attesa rispetto alle azioni ordinarie.
Una volta considerata la redditività e la situazione finanziaria della società in esame, si può azzardare un primo giudizio sulla correttezza valutazione o meno dell’azione di risparmio in sé.
In secondo luogo, si può compiere anche un secondo esercizio. Dato il prezzo delle azioni rilevato sul mercato, è possibile estrarre il valore implicito del diritto di voto:

Con questa informazione, in base alla misura del premio per il diritto di voto, si può azzardare un giudizio sulla sopra-sotto/valutazione dell’azione di risparmio rispetto all’azione ordinaria.
L’entità del premio per il diritto di voto, secondo la teoria economica, può variare notevolmente a seconda di diverse variabili. La più interessante è la contendibilità e l’appetibilità della società, che si traduce nella probabilità che avvenga una “scalata” all’azienda e che l’azione dispersa sul mercato rientri tra quelle acquistate dallo scalatore per raggiungere il controllo.
Pertanto, si tratta ovviamente di stime a spanne, ma il giochino può essere utile e stimolante: a parte le ipotesi sugli utili, l’idea di fondo è estrarre le informazioni contenute nei prezzi osservati sul mercato e valutare se siano sensate o meno.
Negli anni le azioni risparmio quotate a Piazza Affari sono state decimate dal susseguirsi di operazioni di conversione in azioni ordinarie.
Le motivazioni sottostanti a questa tendenza sempre più frequente sono molteplici, tra cui purtroppo figura anche l’utilizzo di tali operazioni straordinarie di conversione al fine di trasferire ricchezza dagli azionisti di risparmio agli azionisti ordinari.
A Piazza Affari sono rimaste solamente sei “reduci”.
Fonte: elaborazione propria Statuti societari
La prossima puntata sarà dedicata all’applicazione del modello sopra proposto ad alcune di queste azioni di risparmio ancora quotate a Piazza Affari.
Fonti:
M. Bigelli Le azioni di risparmio. Un'analisi economica e gli effetti sulla governance dell'impresa, Bologna, Il Mulino, 2003
(ed. digit.: 2009, doi: 10.978.8815/143549,
capitolo primo: la disciplina delle azioni di risparmio nel testo unico della finanza, pp. 11-41, doi capitolo: 10.1401/9788815143549/c1,
capitolo terzo: il valore delle azioni di risparmio e il premio per il diritto di voto, pp. 81-150, doi capitolo: 10.1401/9788815143549/c3,
capitolo quinto: la conversione delle azioni di risparmio, pp. 219-273, doi capitolo: 10.1401/9788815143549/c5)
L’autore del presente articolo è iscritto all’Ordine dei Giornalisti e non detiene gli strumenti oggetto delle sue analisi.
Il nostro giornale rispetta la Carta dei Doveri dell’Informazione Economica clicca qui >>
Informativa metodo clicca qui >>








